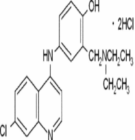
Amodiquine - powder type
INR 3299 INR 3300
Enquire
Description
we are one of the leading supplier, exporter and importer of Pharmaceutical formulation, Novel molecule, APIs, Vet.-APIs, industrial Chemicals, Excipients, Ingredients, Drug Intermediates, Solvents, Spices, Oleoresins, Herbals, Phytochemicals, Extracts, Food&Feed Additives, Vitamins, Nutraceuticals and Dietary supplements etc. We are exporting several of our products to Latin American countries, Gulf & Asian countries and also a few products to Australia, UK & USA. We are also contract manufacturer of APIs and attached is the list of products and by cooperation with other manufacturers in India . Also most of the products are from WHO cGMP , ISO , GMP manufacturers
Other Specifications
| color : | white |





