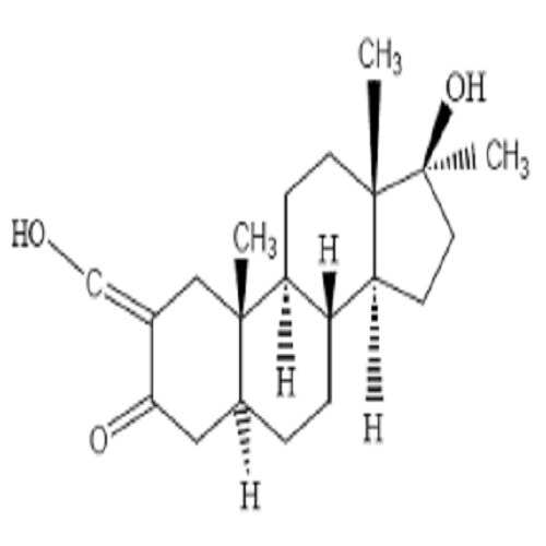
oxymetholone by oxymetholone
oxymetholone - powder type
INR 100000
Enquire
Description
Oxymetholone, sold under the brand names Anadrol and Anapolon among others, is an androgen and anabolic steroid medication which is used primarily in the treatment of anemia. It is also used to treat osteoporosis, HIV/AIDS wasting syndrome, and to promote weight gain and muscle growth in certain situation





